
Nitrogen generators NG3000 (A) / NG5000 (A)
The nitrogen generators use pressure swing adsorption to produce ultra-high purity nitrogen for GC applications. Delivering flow rates of 3 l/min or 5 l/min, these generators come in two variants, the standard model and the enhanced (A) models which feature an integrated compressor, removing the need for an external air supply to be present in the lab. Contains a self-regenerating carbon molecular sieve column.SpecificationsPurity:99.9995 %*Max. pressure:5.5 bar / 80 psiPermissible ambient temperature:5 ... 25 °CDimensions (W x D x H):430 x 410 x 1260 mmPower supply:230 V, 50/60 HzWarranty:12 month comprehensive on-site warranty*At 5 l/min the NG5000A will produce gas at a purity of 99.998%

Nitrogen generators Precision Nitrogen
Nitrogen generators for the GC. For safe and continuous production of nitrogen with a purity of 99.9995%.On-demand generation of nitrogen as purge gas and for sample preparation in standard analysesCompact, modular and stackable systemConstant and uniform supply for reliable and reproducible analysesCan be individually combined with PEAK hydrogen and zero air generatorsNo contamination of the systemVery fast start time and rapid achievement of the required operating purityAvailable with different flow ratesGenerator for headspace requirements available, compatible with most headspace samplersVery low maintenance requirementsScope of supply: Nitrogen generator, 1 m PTFE tubing, 1/4" compression fitting, 1/8" compression fitting, mains power cable for EU, UK and USSpecificationsPurity:99.9995 %Gas connection:1/4"Permissible ambient temperature:5 ... 35 °CDimensions (W x D x H):380 x 540 x 256 mmPower supply:110/230 V, 50/60 HzWarranty:1 year

Nitrogen generators Precision Nitrogen Trace
For the safe and continuous production of high-purity nitrogen for GC with a purity of 99.9999%.On-demand generation of nitrogen as carrier gas, additive gas and for sample preparation in GCNitrogen is produced from compressed airCompact, modular and stackable systemReduction of hydrocarbons to <0.05 ppmNo replacement of the catalyst chamber requiredRegenerative CMS columns remove oxygen and moistureConstant and uniform supply for reliable and reproducible analysesCan be individually combined with PEAK hydrogen and zero air generatorsNo contamination of the system as when changing bottlesVery fast start-up time and rapid achievement of the required operating purityAvailable with different flow ratesMinimal maintenance requirements3 years warranty on the cellScope of supply: Nitrogen generator, 1 m PTFE tubing, 1/4" compression fitting, 1/8" compression fitting, mains power cable for EU, UK and USSpecificationsPurity:99.9999 %Max. pressure:5.5 bar / 80 psiPermissible ambient temperature:5 ... 35 °CDimensions (W x D x H): Weight:38.0 x 54.0 x 25.6 cm 38 kgPower supply:110/230 V, 50/60 HzWarranty:3 years (cell), 1 year (device)

Nitrogen generators Solaris XE
The laboratory nitrogen generators use membrane technology to meet the gas delivery requirements of laboratories using LC-MS or multiple lower flow rate nitrogen units. They can be operated with varying flow rates and purity.Compact, stackable systemColour indicative LED lighting for easy status awarenessSpecificationsMax. flow rate:35 l/minPurity:95 ... 99.5 %*Max. pressure:8 bar / 116 psiAir inlet pressure:5,5 ... 10 bar / 80 ... 145 psiMin. inlet air quality:ISO 8573 - 1:2010 Klasse 1.4.1Permissible ambient temperature:5 ... 30 °CDimensions (W x D x H):343 x 650 x 156 mmWeight:15.1 kgPower supply:110 / 230 V, 50/60 HzWarranty:12 month on-site comprehensive warranty*depending on inlet air pressure and outlet flow

O-rings CRS ONE, FKM
O-rings made of FKM for sealing between the inlet liner and GC injection port. They prevent gas leaks and ensure a uniform flow path through the inlet.Pre-cleaned and conditioned to minimize potential active sites and system contaminationResistant to high temperatures and chemical exposureCompatible with multiple devicesMax. injector temperature 300 °C

OPTIMA® 1 high performance capillary columns for GC
100% dimethylpolysiloxanenonpolar phase separation of components according to boiling points thick film columns ≥3µm film are especially recommended for solvent analysis.Similar phases: Permabond® SE-30, OV-1, DB-1, SE-30, HP-1, SPB-1, CP-Sil 5 CB, Rtx-1, 007-1, BP1, MDN-1, AT-1, ZB-1, OV-101.For columns with 0.25 to 0.32mm ID and films <3µm the max. temperature for isothermal operation is 340°C, the max. temperature for short isotherms in a temperature programme is 360°C.For 0.53mm ID columns with films <3µm the max. temperatures are 320 and 340°C, resp. for thick film columns with films ≥3µm the max. temperatures are 300 and 320 °C, resp.Custom-made columns to your specifications available on request.Each column is individually tested and supplied with test certificate and test chromatogram, but without fittings or ferrules.Column ends are melted or closed with septa, and thus protected from atmospheric oxygen. Additionally, we supply the corresponding test mixture with each column.

OPTIMA® 1 MS Accent ultra-low bleed capillary columns for GC
100 % dimethylpolysiloxanenonpolar phase with ultra-low bleeding, ideal for ion trap and quadrupol MS detectors increased sensitivity due to an unmatched low background level perfect inertness for basic compoundssolvent rinsing for removal of impurities applicableapplication areas: all-round phase for environmental analyses, trace analyses, EPA methods, pesticides, PCB, food and drug analysessimilar phases: Ultra-1, DB-1 MS, HP-1 MS, Rtx-1 MS, Equity™1, AT-1 MS, VF-1 MS, CP-Sil 5 CB MSmax. temperature for isothermal operation 340 °C, max. temperature for short isotherms in a temperature programme 360 °CEach column is individually tested and supplied with test certificate and test chromatogram, but without fittings or ferrules. Column ends are melted or closed with septa, and thus protected from atmospheric oxygen.Additionally, we supply the corresponding test mixture with each column.

Optima® 17 capillary columns for GC
phenylmethylpolysiloxane (50 % phenyl)medium polar phasepreferred applications: steroids, pesticides, drug analysesUSP G3similar phases: OV-17, DB-17, HP50+, HP17, SPB-50, SP-2250, Rtx-50, CP-Sil 24 CB, 007-17, ZB50 max. temperature for isothermal operation: 320°C, max. temperature for short isotherms in a temperature programme: 340°C, for 0.53mm ID columns the max. temperatures are 300 and 320°C, resp.In addition to this standard programme we will be happy to supply columns custom-made to your specifications.

Optima® 1701 capillary columns for GC
14 % Cyanopropyl-phenyl - 86 % Dimethylpolysiloxane USP G46medium polar phasespecial selectivity due to high cyanopropyl contentreference column for structure identification, e.g. in combination with Optima 5film thickness 1 µm for solvent analysessimilar phases: OV-1701, DB-1701, CP?Sil 19 CB, HP-1701, Rtx-1701, SPB-1701, 007-1701, BP10, ZB-1701max. temperature for isothermal operation: 280°C, max. temperature for short isotherms in a temperature programme: 300°CCustom-made columns to your specifications on request.Each column is individually tested and supplied with test certificate and test chromatogram, but without fittings or ferrules.Column ends are melted or closed with septa, and thus protected from Additionally, we supply the corresponding test mixture with each column.

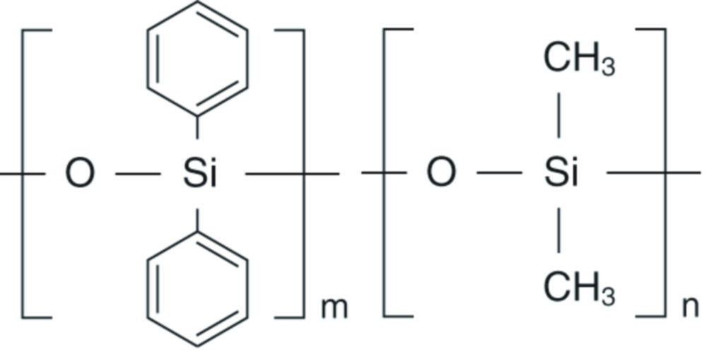
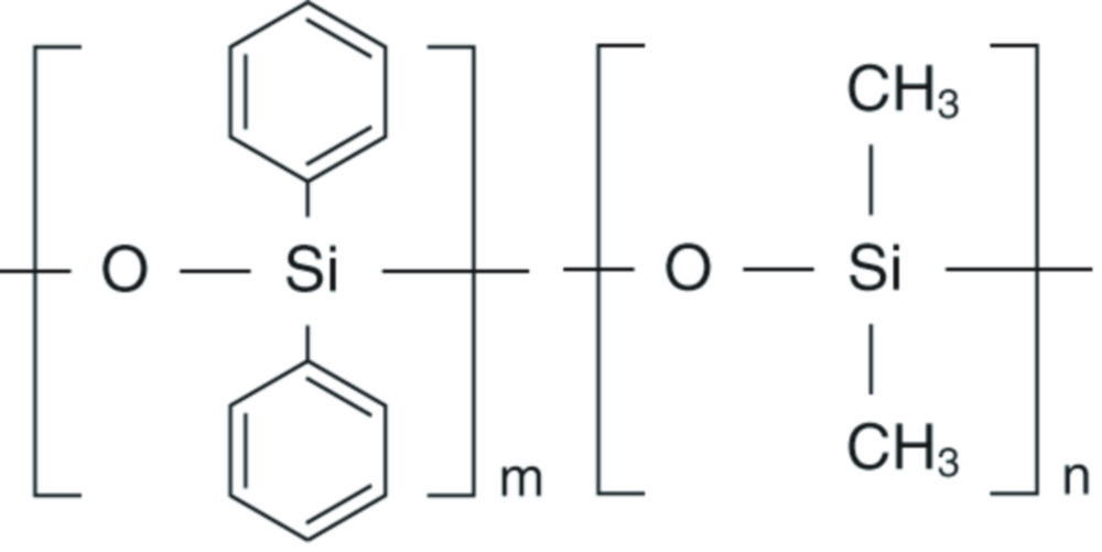
OPTIMA® 225 capillary columns for GC
50% cyanopropylmethyl - 50% phenylmethylpolysiloxaneUSP G7 / G19middle polar phaserecommended for fatty acid analysessimilar phases: DB-225, HP-225, OV-225, Rtx-225, CP-Sil 43, 007-225, BP225max. temperature for isothermal operation: 260°C, max. temperature for short isotherms in a temperature programme: 280°CCustom-made columns to your specifications available on request.Each column is individually tested and supplied with test certificate and test chromatogram, but without fittings or ferrules.Column ends are melted or closed with septa. Additionally, we supply the corresponding test mixture with each column.

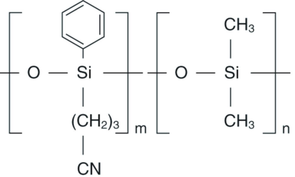
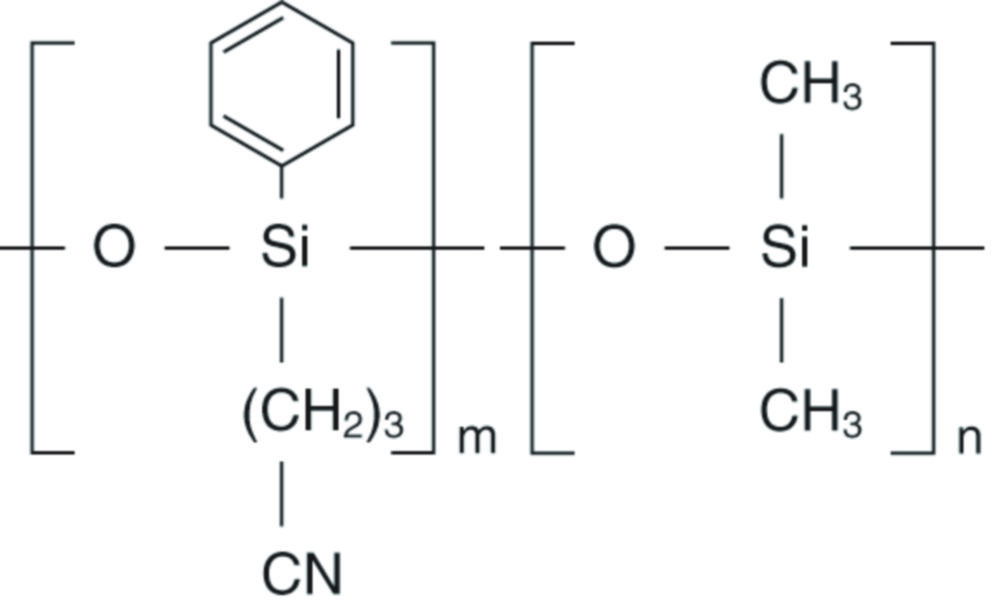
Optima® 5 Amine GC capillary columns for amine separation
especially deactivated for the analysis of polyfunctional amines such as ethanolamines, amino-functionalised diols and similar compounds, which are important base materials in industrial chemistry, and shows strong tailing on standard-deactivated columns; similar phases: Rtx-5 Amine, PTA-5; USP G27 / G36; improved linearity for analyses of active components at trace levels: no amine absorptions even for aliphatic and aromatic amines at concentrations of 100 pg/peak; tested with the Optima® Amine test mixture, which among others also contains diethanolamine and propanol-pyridine (this test mixture is supplied with each column). Max. temperature for isothermal operation: 300°C, max. temperature for short isotherms in a temperature programme: 320°C.

OPTIMA® 5 capillary columns for GC
5% phenyl - 95% dimethylpolysiloxane USP G27, G36 nonpaolar standard phase with large range of application similar phases: Permabond® SE-52 , SE-54, SE-52, DB-5, HP-5, SPB-5, CP-Sil 8, Rtx-5, 007-5, BP5, MDN-5, AT-5, ZB-5 for columns with 0.1 to 0.32mm ID and films <3µm the max. temperature for isothermal operation is 340°C, the max. temperature for short isotherms in a temperature programme is 360°C for 0.53mm ID columns with films < 3µm the max. temperatures are 320 and 340°C, resp. for thick film columns with films ≥ 3µm the max. temperatures are 300 and 320°C, resp.Further lengths available on request.Custom-made columns to your specifications available on request.Each column is individually tested and supplied with test certificate and test chromatogram, but without fittings or ferrules. Column ends are melted or closed with septa, and thus protected from atmospheric oxygen.Additionally, we supply the corresponding test mixture with each column.

OPTIMA® 5 MS Accent capillary columns for GC
silarylene phaseWith polarity similar to a 5 % diphenyl -95 % dimethylpolysiloxane phase.USP G27, G36Lowest column bleed, nonpolar phase, ideal for ion trap and quadrupol MS detectors solvent rinsing for removal of impurities applicableApplication areas: all-round phase for environmental analyses, trace analyses, EPA methods, pesticides, PCB, food and drug analysessimilar phases: DB-5 MS, HP-5 MS, Ultra-2, Equity-5, CP-Sil 8 CB low bleed/MS, Rtx-5SIL-MS, Rtx-5 MS, 007-5 MS, BPX5, MDN-5S, AT-5 MS, VF-5 MSMax. temperature for isothermal operation: 340 °C,Max. temperature for short isotherms in a temperature programme: 360 °Cfor cloumns with film thicknesses > 5.5 µm the max. temperatures are 320 and 340 °CEach column is individually tested and supplied with test certificate and test chromatogram, but without fittings or ferrules. Column ends are melted or closed with septa, and thus protected from atmospheric oxygen.Additionally, we supply the corresponding test mixture with each column.

OPTIMA® 5 MS capillary columns for GC
5% diphenyl - 95% dimethylpolysiloxanenonpolar phase with low bleeding, deal for GC/MS and ECD applications and general analyses at trace level perfect inertness for basic compounds.Similar phases: DB-5 MS, HP-5 MS, Ultra-2, Equity-5, CP-Sil 8 CB low bleed/MS, Rtx-5SIL-MS, Rtx-5 MS, 007-5 MS, BPX5, MDN-5S, AT-5 MS, VF-5 MS.max. temperature for isothermal operation: 340°C, max. temperature for short isotherms in a temperature programme: 360 °CCustom-made columns to your specifications available on request.Each column is individually tested and supplied with test certificate and test chromatogram, but without fittings or ferrules. Column ends are melted or closed with septa, and thus protected from atmospheric oxygen.Additionally, we supply the corresponding test mixture with each column.

Optima® 624 capillary columns for GC
6% cyanopropyl-phenyl - 94% dimethylpolysiloxaneUSP G43medium polar phaserecommended for environmental analysessimilar phases: HP-624, HP-VOC, DB-624, DB-VRX, SPB-624, CP-624, Rtx-624, Rtx-Volatiles, 007-624, BP624, VOCOLmax. temperature for isothermal operation: 280°C, max. temperature for short isotherms in a temperature programme: 300°CCustom-made columns to your specifications avaialble on request.Each column is individually tested and supplied with test certificate and test chromatogram, but without fittings or ferrules.Column ends are melted or closed with septa. Additionally, we supply the corresponding test mixture with each column.

Optima® 624 LB capillary columns for GC
6% cyanopropyl-phenyl - 94% dimethylpolysiloxaneUSP G 43medium polar phaselow bleed columns for halogenated hydrocarbons, volatiles, aromatic compounds, solvents etc.similar phases: HP-624, HP-VOC, DB-624, DB-VRX, SPB-624, CP-624, Rtx-624, Rtx-Volatiles, 007-624, BP624, VOCOLmax. temperature for isothermal operation: 280°C, max. temperature for short isotherms in a temperature programme: 300°CCustom-made columns to your specifications available on request.Each column is individually tested and supplied with test certificate and test chromatogram, but without fittings or ferrules.Column ends are melted or closed with septa. Additionally, we supply the corresponding test mixture with each column.

Optima® FFAP capillary columns for GC
polyethylene glycol 2-nitroterephthalateclose equivalent USP G25 / G35polar phaserecommended for FAME, free carboxylic acidssimilar phases: Permabond FFAP , DB-FFAP, HP-FFAP, CP-Sil 58 CB, 007-FFAP, CP-FFAP CB, Nukolfor columns with 0.10 to 0.32mm ID the max. temperature for isothermal operation is 250°C, the max. temperature for short isotherms in a temperature programme is 260°C for 0.53mm ID columns the max. temperatures are 220 and 240°C, resp.Custom-made columns to your specifications on request.Each column is individually tested and supplied with test certificate and test chromatogram, but without fittings or ferrules. Column ends are melted or closed with septa, and thus protected from atmospheric oxygen.Additionally, we supply the corresponding test mixture with each column.

Optima® WAX capillary columns for GC
polyethylene glycol 20000 daltonsUSP G16polar phaserecommended for solvent analysis and alcoholssuitable for aqueous solutionssimilar phases: Premabond® CW 20 M , DB-Wax, Supelcowax, HP-Wax, HP-INNOWAX, Rtx-Wax, CP-Wax 52 CB, Stabilwax, 007-CW, BP20, AT-Wax, ZB-WaxMax. temperature for isothermal operation 240°C, max. temperature for short isotherms in a temperature programme: 250°C,for 0.53 mm ID columns the max. temperatures are 220 and 240°C, resp.Custom-made columns to your specifications available on request.Each column is individually tested and supplied with test certificate and test chromatogram, but without fittings or ferrules.Column ends are melted or closed with septa. Additionally, we supply the corresponding test mixture with each column.
Preventative Maintenance
* 20H Continuous operation approx 6 to 7 months* 40H Continuous operation approx 4 to 5 months* 60H Continuous operation approx 2 to 3 months

Septa for Agilent GC/EC
All Septa are made with a high grade silicone material to minimize needle coring. These new materials meet or exceed industry standards, giving you reassurance in the quality of your work. All of these Septa are durable with excellent resealing properties and excellent solvent resistance.EC = High Temperature Silicone Septa, for significantly longer injection life, low bleed and low injection port adhesion.

Septa for Agilent GC/HT
All Septa are made with a high grade silicone material to minimize needle coring. These new materials meet or exceed industry standards, giving you reassurance in the quality of your work. All of these Septa are durable with excellent resealing properties and excellent solvent resistance.HT = BTO Silicone Septa, Bleed and temperature optimized, combined with outstanding mechanical properties.

Silylation kit
For improved volatility, better thermal stability or low limit of detection in gas chromatography prerequisite: quantitative, rapid and reproducible formation of only on derivative halogen atoms introduced by derivatisation (e.g. trifluoroacetates) allow specific detection (ECD) with the advantage of high sensitivity elution order and fragmentation patterns in MS can be influenced by a specific derivatisation.Reagents for silylation - alkylation (methylation) - acylation are available.Which is the proper reagent for silylation?Test kit for determination of the optimum silylation.

Silylation reagents - BSTFA, SILYL-991
For improved volatility, better thermal stability or low limit of detection in gas chromatography prerequisite: quantitative, rapid and reproducible formation of only on derivative halogen atoms introduced by derivatisation (e.g. trifluoroacetates) allow specific detection (ECD) with the advantage of high sensitivity elution order and fragmentation patterns in MS can be influenced by a specific derivatisation.Reagents for silylation - alkylation (methylation) - acylation are available.N,O-bis-trimethylsilyl-trifluoroacetamidem.w. 257.4, Bp 40°C (12mm Hg), density d20°/4° = 0.961BSTFA: R = CF3 powerful trimethylsilyl donor with approximately the same donor strength as the non-fluorinated analogue BSAadvantage of BSTFA over BSA: greater volatility of its reaction products (particularly useful for GC of some lower boiling TMS amino acids.BSTFA is nonpolar (less polar than MSTFA), and can be mixed with acetonitrile for improved solubility. For silylating fatty acid amides, hindered hydroxyls and other compounds, which are difficult to silylate (like secondary alcohols and amines), we recommend BSTFA + 1% trimethylchlorosilane (TMCS), available under the designation SILYL-991.Due to their purpose, derivatisation reagents are very reactive substances. For this reason they should be stored cool and protected from moisture.The derivatisation reagents are supplied in vials with crimp caps for easy access with a syringe. Vials with pierced sealing disks have limited stability and should be used immediately.

Silylation reagents - MSTFA
For improved volatility, better thermal stability or low limit of detection in gas chromatography prerequisite: quantitative, rapid and reproducible formation of only on derivative halogen atoms introduced by derivatisation (e.g. trifluoroacetates) allow specific detection (ECD) with the advantage of high sensitivity elution order and fragmentation patterns in MS can be influenced by a specific derivatisation.Reagents for silylation - alkylation (methylation) - acylation are available.N-methyl-N-trimethylsilyl-trifluoroacetamidem.w. 199.1, Bp 70 °C (75 mm Hg), density d20°/4° = 1.11MSTFA: R' = CF3, R" = CH3The most volatile trimethylsilyl amide available.Very strong TMS donor which does not cause any noticeable fouling of the FID burning chamber even after long-time measuring series.The already good solution characteristics can be improved by addition of submolar quantities of protic solvents (e.g. TFA for extremely polar compounds such as hydrochlorides) or pyridine (e.g. for carbohydrates).Due to their purpose, derivatisation reagents are very reactive substances. For this reason they should be stored cool and protected from moisture.The derivatisation reagents are supplied in vials with crimp caps for easy access with a syringe. Vials with pierced sealing disks have limited stability and should be used soon.

Syringes for GC autosampler from Agilent
GC syringes for Agilent autosampler 7673, 7683 and 6850With fixed or removable needleTwo different needle diameter and tapered needlesHigh reproducibility, low carry-over

Syringes for GC autosampler from Agilent, gastight
GC syringes for Agilent autosampler 7673, 7683 and 6850With fixed or removable needleTwo different needle diameter and tapered needlesHigh reproducibility, low carry-over

Syringes for GC autosampler from CTC
Syringes for CTC Analytics CombiPal and GC PAL. High reproducibility, low carry-over.

Syringes for GC autosampler from CTC / Thermo / Bruker (Varian)
Syringes for CTC Analytics CombiPal and GC PAL. High reproducibility, low carry-over.

Syringes for GC autosampler from CTC / Thermo AS3000, AS2000, AS200/80
Syringes for CTC Analytics CombiPal and GC PAL. High reproducibility, low carry-over.

Syringes for GC autosampler from CTC / Thermo TriPlus
Syringes for CTC Analytics CombiPal and GC PAL. High reproducibility, low carry-over.

Syringes for GC autosampler from CTC / Thermo, gastight
Syringes for CTC Analytics CombiPal and GC PAL.High reproducibility, low carry-overFor Thermo TriPlus