
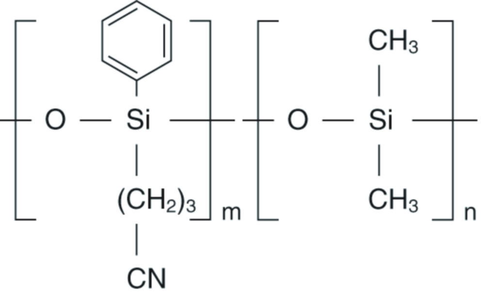
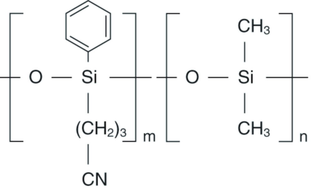
Capillary columns BP624
Cyanopropylphenyl Polysiloxane. For the analysis of volatile components of drinking water, chlorinated hydrocarbons, solvents and for the EPA method 624, USP G43 methods, SW-846 and 8240 / 8260 methods. Suitable replacement for: DB-624, OV-624, AT-624, HP-VOC, CP-Select624CB, 007-624, Rtx-Volatiles, VOCOL, ZB-624.

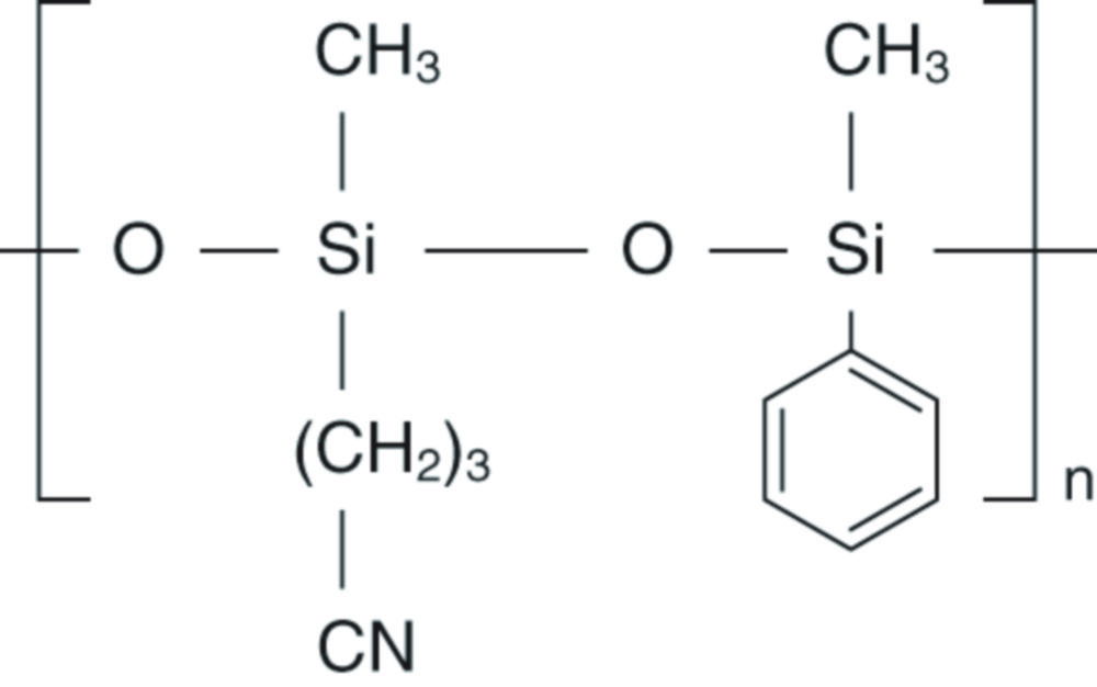
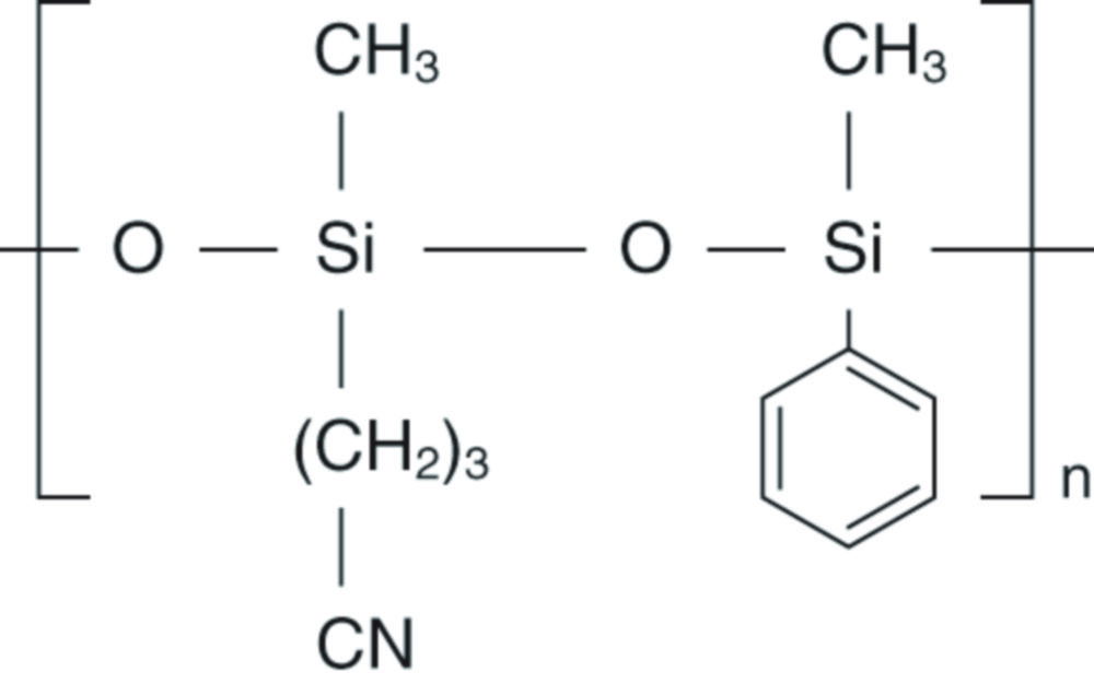
Capillary columns BPX-Volatiles
Cyanopropyl Polysilphenylene. Polar phase. For environmental analyses, volatile organic substances, alcohol analyses and for the EPA method 624, USP G43 methods, 502.2, SW-846 and 8240 / 8260 methods. Suitable replacement for: DB-VRX, HP-624, OPTIMA 624, ELITE-624, 007-624, RTXVOLATILES, SPB-624, TRV1, CPSIL 13 CB, VOCOL, VB-624, CP-624.

Capillary columns BPX1-SIMD
100% Dimethyl Polysiloxane. For high temperature hydrocarbon analysis and ASTM methods D2887 and D6532. Suitable replacement for: DB-2887, DB-HT Sim Dis, HP-1, Petrocol 2887, Petrocol EX2887, Rtx-2887.Non-polarLow bleed

Capillary columns BPX50
50% Phenyl Polysilphenylene-siloxane. For a range of EPA methods (604, 608, 8060, 8081), pharmaceutical applications, triazines, herbicides and steroids. Suitable replacement for: OV-17, SP-2250, DB-17, DB-17ms, DB-17ht, Rtx-50, SPB-50, HP-50+, HP-17.

Capillary columns GC BP1
100% Dimethyl Polysiloxane. General purpose GC column for all routine analyses such as hydrocarbons, aromatics, pesticides, phenol, herbicides and amines. Suitable replacement for: DB-1, DB-Petro, HP-1, HP-1MS, Rtx-1, Ultra-1, SPB-1, SPB-1 Sulfur, Petrocol DH, CP-Sil 5CB, VB-1, ZB-1, VF-1ms.Low bleedNon-polar

Capillary columns GC BP1 PONA
100% Dimethyl Polysiloxane. For the analysis of petroleum products. Suitable Replacement for: Petrocol DH, DB-Petro, HP-PONA, AT-Petro, Elite-PONA, ZB-1, 007-1-100-0.5F, Rtx-1PONA, CP Sil PONA.Non-polar phase for PONA analysisDetailed hydrocarbon analysis according to ASTMCrosslinked and washableVery high resolving power columns for complex samples

Capillary columns GC BP10
14 % Cyanopropylphenyl Polysiloxane. For analysis of organochlorine pesticides. Suitable replacement for: DB-1701, Rtx-1701, SPB-7, HP-1701, CP-Sil 19CB, 007-1701, PE-1701, SP-1701.Low bleedHighly inertAble to be solvent rinsed

Capillary columns GC BP20
Polyethylene Glycol phase. GC column for analyses such as alcohol, free acids, fatty acid methyl esters, aromatics, solvents and essential oils. Suitable replacement for: Carbowax 20M, CP-Wax 52 CB, DB-WAX, Elite-WAX, HP-20M, HP-INNOWax RH-WAX, Rtx-Wax, Stabilwax, SUPELCOWAX 10, TG-WaxMS, VF-WAXms, ZB-WAX.Industry standard wax columnPolar phase

Capillary columns GC BP21
Nitroterephtalic acid modified PEG. For low molecular weight acids, alcohols, aldehydes, acrylates and ketones. Suitable replacement for: DB-FFAP, HP-FFAP, Stabilwax-DA, CPWax-58CB.Polar phaseAble to be solvent rinsed (water or methanol are not recommended for rinsing)

Capillary columns GC BP5
5% Phenyl / 95% Dimethyl Polysiloxane. Low bleed. General purpose GC column for all routine analyses such as aromatics, pesticides, herbicides, hydrocarbons. Suitable replacement for: DB-5, Rtx-5, HP-5, Ultra-2, PTE-5, SPB-5, MDN-5, CP-Sil 8CB, VB-5, ZB-5, VF-5ms.

Capillary columns GC BP5MS
5% Phenyl Polysilphenylene-siloxane. For 5% GC-MS analysis and general purpose MS analysis. Suitable replacement for: DB-5ms, ZB-5ms, Rxi-5Sil MS, VF-5ms, CP-Sil 8 CB.

Capillary columns GC BPX-BIOD6584
Optimised for specified ASTM D6584 biodiesel methods.

Capillary columns GC BPX-Dioxin
For Dioxins and related compounds (POPs, PCBs, PCDFs, PCDDs).Very low bleedNon-polarExtremely inertIdeal for GC-MS

Capillary columns GC BPX35
35 % Phenyl Polysilphenylene-siloxane. Suitable Replacement for: DB-35, DB-35ms, Rtx-35, HP-35, HP-35MS, SPB-35, MDN-35.Very low bleedInertMid polarity columnEquivalent to USP phase G42High temperatureAble to be solvent rinsed

Capillary columns GC BPX5
5% Phenyl Polysilphenylene-siloxane. General purpose GC column for routine gas chromatographic analysis. Suitable replacement for: DB-5, DB-5ms, DB-5.625, XTI-5, Rtx-5ms, Ultra-2, HP-5, HP-5MS, HP5-TA, SPB-5, MDN-5S, CP-Sil8CB, Rxt-Sil 5MS, AT-5ms, VB-5, ZB-5, VF-5ms.Very low bleedNon-polarExtremely inert

Capillary columns GC BPX608
35% Phenyl Polysilphenylene-siloxane. For environmental analyses, EPA 608, pesticides and herbicides. Suitable replacement for: DB-608, Rtx-35, SPB-608, HP-35, ZB-35.

Capillary columns GC BPX70
70% Cyanopropyl Polysilphenylene-siloxane. Able to be solvent rinsed. Industry standard column for fatty acid methyl esters, carbonhydrates, pharmaceuticals, GC/MS applications. Suitable alternative to: DB-23, Rtx-2330, SP-2330, CP-Sil 88, SP2380, HP-23.

Capillary columns GC BPX90
90% Cyanopropyl Polysilphenylene-siloxane. For the fast separation of fragrances, aromatics, pesticides, PCB, isomers of fatty acid methyl esters.Bonded phaseHighly polarThermally stableAble to be solvent rinsed

Capillary columns GC CYDEX-B™
Permethylated Beta-Cyclodextrin (Chiral). Suitable replacement for: Cyclodex-B, Rt-BDEXm, LIPODEX C. Phase for the separation of chiral compound e.g. separation of enantiomeric compounds found in natural products.

Capillary columns GC SolGel-1ms™
100% Dimethyl Polysiloxane in a SolGel matrix. Suitable Replacement for: DB-1, DB-Petro, HP-1, HP-1MS, Rtx-1, Ultra-1, SPB-1, SPB-1 Sulfur, Petrocol DH, CP-Sil 5CB, VB-1, ZB-1, VF-1ms.Less bleedNon-polarHighly inertSame selectivity as BP1

Capillary columns HT5
5% Phenyl Polycarborane siloxane. Ultra-high temperature columns for simulated distillation applications, general hydrocarbon profiles, pesticides, herbicides and for GCMS applications.

Capillary columns HT8 / Fast PCB
8 % Phenyl Polycarborane-siloxane. Ultra high temperature columns for polychlorinated biphenyl compounds (PCB), nitro-substituted aromatics, polynuclear aromatic hydrocarbons, pesticides and herbicides.

Capillary columns SolGel-Wax
Polyethylene Glycol (PEG) in a SolGel matrix. Suitable replacement for: DB-Wax, Rtx- Wax, Stabilwax, HP20M, HP-Wax, HP-INNOWax, Supelcowax-10, AT-Wax, Nukol, CP, Wax 52CB, VB-WAX, ZB-WAX.Robust high-temperature column.Polar phaseLow bleed and inert

Capillary, methyl deactivated fused silica
Coated fused silica tubing for GC capillary applications.High homogeneityChemically inertStandard polyimide temperature resistance up to 380 °CPolyimide coating is chemically resistantLow dielectric constant, low dielectric lossImpermeable to all gases (except H2, He)Free of thermal hysteresisHigh intrinsic tensile strengthVery low thermal expansionUse with hydrofluoric acid, phosphoric acid, alkalis and alkali metal-containing compounds should be avoided, as this can lead to dissolution of the quartz glass and devitrification of the surface.


Capillary, phenyl deactivated fused silica
Coated fused silica tubing for GC capillary applications.High homogeneityChemically inertStandard polyimide temperature resistance up to 380 °CPolyimide coating is chemically resistantLow dielectric constant, low dielectric lossImpermeable to all gases (except H2, He)Free of thermal hysteresisHigh intrinsic tensile strengthVery low thermal expansionUse with hydrofluoric acid, phosphoric acid, alkalis and alkali metal-containing compounds should be avoided, as this can lead to dissolution of the quartz glass and devitrification of the surface.

GC Capillary columns HYDRODEX β-6TBDM
HYDRODEX cyclodextrin phases for enantiomer separationHeptakis-(2,3-di-O-methyl-6-O-t-butyldimethyl-silyl)-β-cyclodextrin. Phase diluted with optimised polysiloxane recommended for γ-lactones, cyclopentanones, terpenes, esters, tartrates.Max. temperature for isothermal operation: 230 °CMax. temperature for short isotherms in a temperature programme: 250 °C

GC Capillary columns HYDRODEX β-TBDAC
HYDRODEX cyclodextrin phases for enantiomer separationHeptakis-(2,3-di-O-acetyl-6-O-t-butyldimethyl-silyl)-β-cyclodextrin. Phase diluted with optimised polysiloxane recommended for alcohols, esters, ketones, aldehydes, δ-lactones.Max. temperature for isothermal operation: 220 °CMax. temperature for short isotherms in a temperature programme: 240 °C

GC Capillary columns LIPODEX® E
LIPODEX® cyclodextrin phase for enantiomer separationBase material: cyclic oligosaccharide consisting of eight glucose units bonded through α-1,4-linkages (y-cylodextrin) regioselective alkylation and acylation of the hydroxyl groups leads to a lipophilic phase, which is well suited for GC enantiomer analyses; important advantage: many compounds can be analysed without derivatisation (however, for certain substances enantioselectivity can be favourably influenced by formation of derivatives).Octakis-(2,6-di-O-pentyl-3-O-butyryl)-γ-cyclodextrin. Recommended for α-amino acids, α- and β-hydroxycarboxylic acid esters, alcohols (TFA), diols (TFA), ketones, pheromones (cyclic acetals), amines, alkyl halides, lactones.Max. temperature for isothermal operation: 200 °CMax. temperature for short isotherms in a temperature programme: 220 °C

OPTIMA® 1 high performance capillary columns for GC
100% dimethylpolysiloxanenonpolar phase separation of components according to boiling points thick film columns ≥3µm film are especially recommended for solvent analysis.Similar phases: Permabond® SE-30, OV-1, DB-1, SE-30, HP-1, SPB-1, CP-Sil 5 CB, Rtx-1, 007-1, BP1, MDN-1, AT-1, ZB-1, OV-101.For columns with 0.25 to 0.32mm ID and films <3µm the max. temperature for isothermal operation is 340°C, the max. temperature for short isotherms in a temperature programme is 360°C.For 0.53mm ID columns with films <3µm the max. temperatures are 320 and 340°C, resp. for thick film columns with films ≥3µm the max. temperatures are 300 and 320 °C, resp.Custom-made columns to your specifications available on request.Each column is individually tested and supplied with test certificate and test chromatogram, but without fittings or ferrules.Column ends are melted or closed with septa, and thus protected from atmospheric oxygen. Additionally, we supply the corresponding test mixture with each column.

OPTIMA® 1 MS Accent ultra-low bleed capillary columns for GC
100 % dimethylpolysiloxanenonpolar phase with ultra-low bleeding, ideal for ion trap and quadrupol MS detectors increased sensitivity due to an unmatched low background level perfect inertness for basic compoundssolvent rinsing for removal of impurities applicableapplication areas: all-round phase for environmental analyses, trace analyses, EPA methods, pesticides, PCB, food and drug analysessimilar phases: Ultra-1, DB-1 MS, HP-1 MS, Rtx-1 MS, Equity™1, AT-1 MS, VF-1 MS, CP-Sil 5 CB MSmax. temperature for isothermal operation 340 °C, max. temperature for short isotherms in a temperature programme 360 °CEach column is individually tested and supplied with test certificate and test chromatogram, but without fittings or ferrules. Column ends are melted or closed with septa, and thus protected from atmospheric oxygen.Additionally, we supply the corresponding test mixture with each column.

Optima® 17 capillary columns for GC
phenylmethylpolysiloxane (50 % phenyl)medium polar phasepreferred applications: steroids, pesticides, drug analysesUSP G3similar phases: OV-17, DB-17, HP50+, HP17, SPB-50, SP-2250, Rtx-50, CP-Sil 24 CB, 007-17, ZB50 max. temperature for isothermal operation: 320°C, max. temperature for short isotherms in a temperature programme: 340°C, for 0.53mm ID columns the max. temperatures are 300 and 320°C, resp.In addition to this standard programme we will be happy to supply columns custom-made to your specifications.

Optima® 1701 capillary columns for GC
14 % Cyanopropyl-phenyl - 86 % Dimethylpolysiloxane USP G46medium polar phasespecial selectivity due to high cyanopropyl contentreference column for structure identification, e.g. in combination with Optima 5film thickness 1 µm for solvent analysessimilar phases: OV-1701, DB-1701, CP?Sil 19 CB, HP-1701, Rtx-1701, SPB-1701, 007-1701, BP10, ZB-1701max. temperature for isothermal operation: 280°C, max. temperature for short isotherms in a temperature programme: 300°CCustom-made columns to your specifications on request.Each column is individually tested and supplied with test certificate and test chromatogram, but without fittings or ferrules.Column ends are melted or closed with septa, and thus protected from Additionally, we supply the corresponding test mixture with each column.

OPTIMA® 225 capillary columns for GC
50% cyanopropylmethyl - 50% phenylmethylpolysiloxaneUSP G7 / G19middle polar phaserecommended for fatty acid analysessimilar phases: DB-225, HP-225, OV-225, Rtx-225, CP-Sil 43, 007-225, BP225max. temperature for isothermal operation: 260°C, max. temperature for short isotherms in a temperature programme: 280°CCustom-made columns to your specifications available on request.Each column is individually tested and supplied with test certificate and test chromatogram, but without fittings or ferrules.Column ends are melted or closed with septa. Additionally, we supply the corresponding test mixture with each column.

Optima® 5 Amine GC capillary columns for amine separation
especially deactivated for the analysis of polyfunctional amines such as ethanolamines, amino-functionalised diols and similar compounds, which are important base materials in industrial chemistry, and shows strong tailing on standard-deactivated columns; similar phases: Rtx-5 Amine, PTA-5; USP G27 / G36; improved linearity for analyses of active components at trace levels: no amine absorptions even for aliphatic and aromatic amines at concentrations of 100 pg/peak; tested with the Optima® Amine test mixture, which among others also contains diethanolamine and propanol-pyridine (this test mixture is supplied with each column). Max. temperature for isothermal operation: 300°C, max. temperature for short isotherms in a temperature programme: 320°C.

OPTIMA® 5 capillary columns for GC
5% phenyl - 95% dimethylpolysiloxane USP G27, G36 nonpaolar standard phase with large range of application similar phases: Permabond® SE-52 , SE-54, SE-52, DB-5, HP-5, SPB-5, CP-Sil 8, Rtx-5, 007-5, BP5, MDN-5, AT-5, ZB-5 for columns with 0.1 to 0.32mm ID and films <3µm the max. temperature for isothermal operation is 340°C, the max. temperature for short isotherms in a temperature programme is 360°C for 0.53mm ID columns with films < 3µm the max. temperatures are 320 and 340°C, resp. for thick film columns with films ≥ 3µm the max. temperatures are 300 and 320°C, resp.Further lengths available on request.Custom-made columns to your specifications available on request.Each column is individually tested and supplied with test certificate and test chromatogram, but without fittings or ferrules. Column ends are melted or closed with septa, and thus protected from atmospheric oxygen.Additionally, we supply the corresponding test mixture with each column.